코딩테스트/Baekjoon
[백준 #11050] 이항 계수 1 (C++)
동띵
2021. 8. 12. 10:33
백준 11050번은 이항 계수를 구하는 문제이다.
https://www.acmicpc.net/problem/11050
11050번: 이항 계수 1
첫째 줄에 \(N\)과 \(K\)가 주어진다. (1 ≤ \(N\) ≤ 10, 0 ≤ \(K\) ≤ \(N\))
www.acmicpc.net


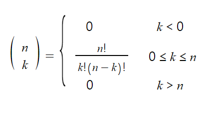
이항 계수 공식을 보면 팩토리얼을 사용하는 것을 볼 수 있다.
따라서 이 문제는 팩토리얼 알고리즘만 알면 쉽게 풀 수 있다.
#include <iostream>
using namespace std;
int factorial(int num) {
if (num == 0 || num == 1) {
return 1;
}
else return num * factorial(num - 1);
}
int main() {
ios::sync_with_stdio(false);
cin.tie(NULL);
int n, k;
int result;
cin >> n >> k;
result = factorial(n) / (factorial(k) * factorial(n - k));
cout << result;
return 0;
}
